联系我们

Q Q:2621613491
电话:136-1302-4221
邮箱:Bkefu@wygcjt.com
网址:www.buysingoo.net
地址:深圳市龙华区恒大时尚慧谷大厦(东区)7栋904

如何解决PCB阻抗不连续问题

大家都知道阻抗要连续。PCB设计也总有阻抗不能连续的时候,这时候该怎么办呢?

一、关于阻抗
先来澄清几个概念,我们经常会看到阻抗、特性阻抗、瞬时阻抗。严格来讲,他们是有区别的,但是万变不离其宗,它们仍然是阻抗的基本定义:
1、将传输线始端的输入阻抗简称为阻抗;
2、将信号随时遇到的及时阻抗称为瞬时阻抗;
3、如果传输线具有恒定不变的瞬时阻抗,就称之为传输线的特性阻抗。
特性阻抗描述了信号沿传输线传播时所受到的瞬态阻抗,这是影响传输线电路中信号完整性的一个主要因素。
如果没有特殊说明,一般用特性阻抗来统称传输线阻抗。影响特性阻抗的因素有:介电常数、介质厚度、线宽、铜箔厚度。

图片

二、什么是阻抗连续
阻抗连续类似:水在一条均匀的水沟里稳定的流动,突然水沟来个转折并且加宽了。那么水在拐弯的地方就会晃动,并且产生水波传播。这就是阻抗不匹配导致的结果。

三、阻抗不连续解决方法
1、渐变线
一些RF器件封装较小,SMD焊盘宽度可能小至12mils,而RF信号线宽可能达50mils以上,要用渐变线,禁止线宽突变。渐变线如图所示,过渡部分的线不宜太长。

图片

2、拐角
RF信号线如果走直角,拐角处的有效线宽会增大,阻抗不连续,引起信号反射。为了减小不连续性,要对拐角进行处理,有两种方法:切角和圆角。圆弧角的半径应足够大,一般来说,要保证:R>3W。如下图所示。

图片

3、大焊盘
50欧细微带线上有大焊盘时,大焊盘相当于分布电容,破坏了微带线的特性阻抗连续性。可以同时采取两种方法改善:首先将微带线介质变厚,其次将焊盘下方的地平面挖空,都能减小焊盘的分布电容。如下图。

图片

4、过孔
过孔是镀在电路板顶层与底层之间的通孔外的金属圆柱体。信号过孔连接不同层上的传输线。过孔残桩是过孔上未使用的部分。过孔焊盘是圆环状垫片,它们将过孔连接至顶部或内部传输线。隔离盘是每个电源或接地层内的环形空隙,以防止到电源和接地层的短路。

图片

过孔的寄生参数

若经过严格的物理理论推导和近似分析,可以把过孔的等效电路模型为一个电感两端各串联一个接地电容,如下图所示。

图片

●过孔的等效电路模型
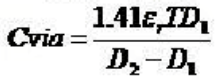
从等效电路模型可知,过孔本身存在对地的寄生电容,假设过孔反焊盘直径为D2,过孔焊盘的直径为D1,PCB板的厚度为T,板基材介电常数为ε,则过孔的寄生电容大小近似于:

图片

过孔的寄生电容可以导致信号上升时间延长,传输速度减慢,从而恶化信号质量。
同样,过孔同时也存在寄生电感,在高速数字PCB中,寄生电感带来的危害往往大于寄生电容。
它的寄生串联电感会削弱旁路电容的贡献,从而减弱整个电源系统的滤波效用。假设L为过孔的电感,h为过孔的长度,d为中心钻孔的直径。过孔近似的寄生电感大小近似于:

图片

过孔是引起RF通道上阻抗不连续性的重要因素之一,如果信号频率大于1GHz,就要考虑过孔的影响。
减小过孔阻抗不连续性的常用方法有:采用无盘工艺、选择出线方式、优化反焊盘直径等。优化反焊盘直径是一种常用的减小阻抗不连续性的方法。
由于过孔特性与孔径、焊盘、反焊盘、层叠结构、出线方式等结构尺寸相关,建议每次设计时都要根据具体情况用HFSS和Optimetrics进行优化仿真。
当采用参数化模型时,建模过程很简单。在审查时,需要PCB设计人员提供相应的仿真文档。
过孔的直径、焊盘直径、深度、反焊盘,都会带来变化,造成阻抗不连续性,反射和插入损耗的严重程度。

5、通孔同轴连接器
与过孔结构类似,通孔同轴连接器也存在阻抗不连续性,所以解决方法与过孔相同。减小通孔同轴连接器阻抗不连续性的常用方法同样是:采用无盘工艺、合适的出线方式、优化反焊盘直径。